Séries de Fourier - Exemplo da aula de 31.07.02



Consideremos a função [Maple Math]- periódica que vale [Maple Math] no intervalo [Maple Math]

> h:=proc(x)
local q;
q:=x;
while q>2*Pi do
q:=q-2*Pi;
od;
q^2;
end:

> f:=proc(x)
local q;
q:=x;
while q<0 do
q:=q+2*Pi
od;
h(q)
end:

> plot(f,-12..12,tickmarks=[8,3]);

[Maple Plot]

A função [Maple Math] não é uma função par nem ímpar. Isto significa que em sua série de Fourier vão aparecer tanto os senos quanto os cossenos. Para calcular seus coeficientes de Fourier, em vez de integrar, por exemplo,

[Maple Math]

é preferível integrar

[Maple Math]

pois no intervalo [Maple Math] a função [Maple Math] tem duas definições diferentes, ao passo que [Maple Math] em todo o intervalo [Maple Math].

> a[0]:=1/Pi*int(x^2,x=0..2*Pi);

[Maple Math]

> a[n]:=1/Pi*int(x^2*cos(n*x),x=0..2*Pi);

[Maple Math]
[Maple Math]
[Maple Math]

Aqui vamos pedir ao maple que substitua as expressões [Maple Math] e [Maple Math] por seus valores [Maple Math] e [Maple Math] .

> a[n]:=subs(sin(Pi*n)=0,cos(Pi*n)^2=1,1/Pi*int(x^2*cos(n*x),x=0..2*Pi));

[Maple Math]

> b[n]:=subs(sin(Pi*n)=0,cos(Pi*n)^2=1,1/Pi*int(x^2*sin(n*x),x=0..2*Pi));

[Maple Math]

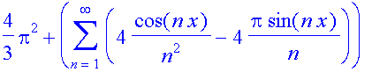
De modo que a serie de Fourier de [Maple Math]

> a[0]/2+sum((a[n]*cos(n*x)+b[n]*sin(n*x)),n=1..infinity);

[Maple Math]

Vamos fazer o gráfico de algumas somas parciais. Para isto definimos a função

> S:=(x,m)->a[0]/2+sum((a[n]*cos(n*x)+b[n]*sin(n*x)),n=1..m);

[Maple Math]

Por exemplo,

> S(x,5);

[Maple Math]
[Maple Math]

> plot(S(x,5),x=-10..10,numpoints=400,tickmarks=[8,3]);

[Maple Plot]

> plot(S(x,10),x=-10..10,numpoints=400,tickmarks=[8,3]);

[Maple Plot]

> plot(S(x,50),x=-10..10,numpoints=400,tickmarks=[8,3]);

[Maple Plot]

Para mostrar a soma dos primeiros 100 termos da série de Fourier junto com a função, damos nomes aos gráficos:

> with(plots):
u:=plot(f,-1..8,tickmarks=[8,3],color=blue):
v:=plot(S(x,100),x=-1..8,numpoints=400,tickmarks=[4,0]):
display({u,v});

[Maple Plot]

>